37 biochemistry basics worksheet answers

Biochemistry Basics Worksheet Answers - Sixteenth Streets Feb 18, 2022 · Biochemistry Basics Worksheet Answers.Biochemistry basics answer key some of the worksheets for this concept are basic atomic structure work answer key chart gre biochemistry test practice book unit 1 introduction to biology r basic chemistry answer key pogil chemistry activities introduction to organic chemistry and biochemistry extension activity 8 enzymes work answers. 13 punnett square fun ... Answers - Biochemistry Basics POGIL - YouTube Answers - Biochemistry Basics POGIL. Смотреть позже. Поделиться.

PDF Biochemistry Basics Worksheet Answers | akademiexcel.com PDF... Biochemistry Basics Pogil Answer Key Pdf - Joomlaxe.com Showing top 8 worksheets in the category - Biochemistry Basics Answer Key. Pogil Activities For Ap Biology Biochemistry Basics Answer Key Prior to discussing Biochemistry Basics Worksheet Answers, you should recognize...

Biochemistry basics worksheet answers

Biochemistry basics worksheet answers

Biochemistry Basics Pogil Answer Key - pdfFiller Сomplete the biochemistry basics pogil answer for free. Get started! Rate free biochemistry basics worksheet answers form. 4.9. Satisfied. Biochemistry Basics Pogil Answer Key - Fill Online, Printable ... Fill Biochemistry Basics Pogil Answer Key, Edit online. Sign, fax and printable from PC, iPad, tablet or mobile with pdfFiller ✓ Instantly. Try Now! Atomic Structure Worksheet Answers Pdf - Biochemistry basics... Basic atomic structure worksheet answers 1 a protons b neutrons c electrons. What type of charge does a proton have? Use your notes from the atomic structure program to answer . The atomic number is equal to the number of protons. Faqs atomic structure worksheet pdf answers.

Biochemistry basics worksheet answers. Biochemistry Basics Worksheets - Teacher Worksheets Biochemistry Basics Worksheets - there are 8 printable worksheets for this topic. Worksheets are Introduction to biochemistry, 1 introduction to Some of the worksheets displayed are Introduction to biochemistry, 1 introduction to biochemistry reading assignment, Introduction to organic chemistry... [PDF] Biochemistry basics pogil worksheet answers | PDFprof.com Biochemistry Basics Pogil Answer Key - Fill Online Printable. Biochemistry Basics Worksheet Answers - Nidecmege. Answers - Biochemistry Basics POGIL - YouTube. BioChemistry Review Answer Key - ANSWER KEY Basic Chemistry 1 In a. Biochemistry Basics Worksheet Answers — db-excel.com Biochemistry Basics Worksheet Answers as a derivative of large concepts solution questions. Using Worksheets means facilitating students to have the ability to answer questions about subjects they have learned. With the Worksheet, pupils may realize the subject subject as a whole more easily. How To Biochemistry Basics Pogil Worksheet Answers Biochemistry Basics Worksheet Answers Pogil - ratingscore. How. Details: Chem 116 POGIL Worksheet - Week 10 - Solutions Weak Acid and Base. › Get more: Biochemistry basics pdf answersShow All. Biochemistry Basics Worksheet Answers Pogil - lensdopca. How.

Biochemistry Basics Worksheet Answers Biochemistry Basics Worksheet Answers! study focus room education degrees, courses structure, learning courses. Biochemistry Basics Worksheet Answers - Decide on another worksheet to discover how the color will appear when the worksheet isn't chosen. Lecture Notes - Biochemistry Basics by Dr. Amit Maheshwari Contact us. Biochemistry Basics Worksheet Answers — excelguider.com Biochemistry Basics Worksheet Answers can be employed by just a teacher/tutor/parent to enrich this content information about their student/child. Worksheets are available as a testing tool to determine the Scholastic Aptitude and Mental Aptitude of child during admission procedures. Biochemistry Basics Worksheet Answers Biochemistry Basics Worksheet Answers and Review Worksheets use several common biology lesson questions to encourage students to learn the concepts. An example question includes the following: What is protein? (ASV) An amino acid is any sugar or starch that can be converted to...

Biochemistry Questions: NET Life Science Exam | Easy Biology Class Biochemistry MCQ: Multiple Choice Questions for Preparing/Practicing CSIR JRF NET Life Sciences Exam. Study Material for NET, ICMR JRF, DBT JRF, GATE, ICAR Exam. Biochemistry Basics Answer Key Worksheets - Kiddy Math Biochemistry Basics Answer Key - Displaying top 8 worksheets found for this concept.. Some of the worksheets for this concept are Biochemistry basics work, Biochemistry basics work answers, Biochemistry basics pogil work answers, Biochemistry basics pogil answers key, Biochemistry work answers, Biochemistry basics answers, Active biochemistry answers, Biology biochemistry chemistry basics work ... Biochemistry Basics Pogil Worksheet Answers | GustavoGargiulo ... Sep 20, 2021 · Biochemistry Basics Answer Key Some of the worksheets for this concept are Basic atomic structure work answer key chart Gre biochemistry test practice book Unit 1 introduction to biology R basic chemistry answer key Pogil chemistry activities Introduction to organic chemistry and biochemistry Extension activity 8 Enzymes work answers. biochem basics POGIL - The Class Website for Lopez Biology The biochem basics POGIL are all saved as individual pages but the protein structure and free energy POGILs are all under scan.tiff ...

PDF biochemistry basics pdf Biochemistry PDF | PDFprof.com

PDF biochemistry basics pdf Biochemistry PDF | PDFprof.com

biochemistry basics pdf - Bing Biochemistry basics pogil answers pdf Working off-campus. 1 Biochemistry Basics S What Concepts From Biochemistry Biology Worksheet May 25, 2019 · Many individuals trying to find specifics of biochemistry basics worksheet answers. Showing top 8 worksheets in the category...

Acids and Bases Worksheet 1

Acids and Bases Worksheet 1

Biochemistry Basics Worksheet Answers | Free Printables... Free Printables Worksheet. Biochemistry Basics Worksheet Answers. 8, Bidmas Worksheet Ks4, Free Maths Worksheets For Year 2, Ben Carson Worksheets, Adl Sequencing Worksheets, Environmental Science Worksheet Answers, 9.1 Continental Drift Worksheet Answers

Water the Magic Molecule of Life

Water the Magic Molecule of Life

Biochemistry Basics worksheet | Email my answers to my teacher Biochemistry online worksheet for High School. Biochemistry Basics basic overview of biomolecules. ID: 1981591 Language: English School subject: Biology Grade/level: High School Age: 12+ Main content: Biochemistry Other contents: Monomers and polymers.

Biochem basics POGIL (1).pdf - Biochemistry Basics What ...

Biochem basics POGIL (1).pdf - Biochemistry Basics What ...

PDF Biochemistry basics pogil worksheet answers Adenine Biochemistry Basics 3 10. Consider the polar molecules in Model 2. a. In general, the presence of atoms of what element(s) makes a molecule polar? b. What property do atoms of these elements have that helps make the molecules they are in polar? c. Can nonpolar molecules also have...

Study documents, essay examples, research papers, course ...

Study documents, essay examples, research papers, course ...

1. Biochemistry MCQ on Water Basics - Sanfoundry 1000+ Biochemistry MCQ PDF arranged chapterwise! Start practicing now for exams, online tests, quizzes, and interviews! DNA, RNA and Protein Metabolism. Regulation of Gene Expression and Miscellaneous. 1. Biochemistry MCQ on Water Basics.

Unit 02 Biochemistry Basics Worksheet 1.pdf - Name Whitefield ...

Unit 02 Biochemistry Basics Worksheet 1.pdf - Name Whitefield ...

Biochemistry Basics Answer Key Worksheets - Learny Kids Displaying top 8 worksheets found for - Biochemistry Basics Answer Key. Some of the worksheets for this concept are Biochemistry basics work, Biochemistry basics work answers, Biochemistry basics pogil work answers, Biochemistry basics pogil answers key, Biochemistry work answers, Biochemistry basics answers, Active biochemistry answers, Biology biochemistry chemistry basics work answers.

Karlaruano (karlaruano450) - Profile | Pinterest

Karlaruano (karlaruano450) - Profile | Pinterest

Answers To Extension Questions Biochemistry Basics Some of the worksheets displayed are Ap summer assignment 2019 20, Biochemistry work answers, Power basics chemistry workbook and answer key pdf epub, Pogil biological molecules work answers, Answers to extension questions biochemistry basics...

Unit 02 Biochemistry Basics Worksheet 1.pdf - Name Whitefield ...

Unit 02 Biochemistry Basics Worksheet 1.pdf - Name Whitefield ...

PDF Biochemistry basics pogil pdf answers Biochemistry Basics 1 Biochemistry BasicsWhat concepts from chemistry are helpful in studying biology? Why?Typically chemistry is a prerequisite course for advanced biology courses. This is because everything in your body, everything in a plant, everything in a virus, etc. is made of atoms.

Welcome AP Biology students! It will be important to buy your ...

Welcome AP Biology students! It will be important to buy your ...

Biochemistry Basics Review Sheet Worksheets - Kiddy Math Biochemistry Basics Review Sheet - Displaying top 8 worksheets found for this concept. Some of the worksheets for this concept are Gre biochemistry test practice book, Introduction to biochemistry, R basic chemistry answer key, Work for organic chemistry, Unit 1 introduction to...

Biochemistry: Part 1 - Basics of Chemistry Worksheet

Biochemistry: Part 1 - Basics of Chemistry Worksheet

Diy Biochemistry Basics Worksheet Answer Key - The Bike Year Biochemistry Basics Worksheet Answers. Biochemistry Basics Pogil Answer Key Course Hero A POGIL activity is designed to be used with self-managed. Download biochemistry basics pogil answer key document. Biochemistry basics pogil answer. View 1 Biochemistry Basics-Keypdf from BSC BCH1010 at Palm Beach Community College.

PDF biochemistry basics pdf Biochemistry PDF | PDFprof.com

PDF biochemistry basics pdf Biochemistry PDF | PDFprof.com

Related Post to Biology Biochemistry Chemistry Basics Worksheet Home » Chemistry Worksheet » Biology Biochemistry Chemistry Basics Worksheet. Worksheets on "COLORED FOOD SELECTION MATH" have been included in this version for the young and passionate students. Biochemistry Basics Worksheet Answers Db excel.

Elements Using APEMAN Memory Strategy for Biochemistry or ...

Elements Using APEMAN Memory Strategy for Biochemistry or ...

Biochemistry Basics (1).pdf - Biochemistry Basics What... Biochemistry Basics 1 Biochemistry Basics What concepts from chemistry are helpful in studying biology? Why? Typically chemistry is a prerequisite course for advanced biology courses.

PDF) A Complete Workbook on Clinical Biochemistry

PDF) A Complete Workbook on Clinical Biochemistry

Balancing Redox Reactions Worksheets 1 & 2 (With Answers) | PDF Electronegativity Worksheet Answers. cpliam. A5_Balancing Redox Worksheet I. Biochemistry Multiple Choice Questions and Answers (MCQs): Quizzes & Practice Tests with Answer Key (Biological Science Quick Study Guides & Encyclopedia Terminology).

Biochemistry Basics POGIL Flashcards | Quizlet

Biochemistry Basics POGIL Flashcards | Quizlet

Biochemistry Basics Worksheets - Learny Kids Biochemistry Basics Worksheets - total of 8 printable worksheets available for this concept. Worksheets are Introduction to biochemistry, 1 introducti... Found worksheet you are looking for? To download/print, click on pop-out icon or print icon to worksheet to print or download.

Biochem basics POGIL

Biochem basics POGIL

Biology Biochemistry Chemistry Basics Worksheet Answer Key Jan 23, 2022 · Biochemistry Basics Worksheet Model 1 1. 10 yo Hd suopnps Jo 01 pasgv. Biochemistry Basics Answer Key Some of the worksheets for this concept are Basic atomic structure work answer key chart Gre biochemistry test practice book Unit 1 introduction to biology R basic chemistry answer key Pogil chemistry activities Introduction to organic chemistry and biochemistry Extension activity 8 Enzymes ...

An inquiry‐based biochemistry laboratory structure ...

An inquiry‐based biochemistry laboratory structure ...

Biochemistry Basics Worksheet Answers | Printable Worksheets... Biochemistry Basics Worksheet Answers Quot can we take this technique and create educational kits to teach students the basics of synthetic biology quot and quot can we make it available for less than 100 a price point affordable for school The module directory provides information on all taught...

CHEM4KIDS Biochemistry Webquest

CHEM4KIDS Biochemistry Webquest

Chemistry Worksheets These are basic chemistry worksheets that you would see in all High School Chemistry course. Science Worksheets By Topic. This selection of worksheets covers all the major aspects of school-based chemistry. We begin by comparing the organic compounds to compounds that do and do not...

Weekly Lesson Plans | Teacher: Alicia Penfield | Class: AP ...

Weekly Lesson Plans | Teacher: Alicia Penfield | Class: AP ...

Biochemistry Basics Answer Key Pdf Details Biochemistry Basics Form - Fill Out and Use. The Biochemistry Basics Form is used to help students gather information about an individual's biochemistry background. Hit the orange button directly below to open our documenttool. It will allow you to prepare this form.

AP Summer Assignment 2019-20

AP Summer Assignment 2019-20

Biochemistry Basics Answer Key Economic Details: Biochemistry Basics Answer Key Pdf Details. Below is the information about the form you were in search of to fill in. It will show you the length of time you'll need to fini sh Access the answers to hundreds of Biochemistry questions that are … biochemistry basics worksheet answer key.

Biochemistry Basics Pogil Answer Key - Fill Online, Printable ...

Biochemistry Basics Pogil Answer Key - Fill Online, Printable ...

Biochemistry Basics Worksheet Answers - Nidecmege Biochemistry basics worksheet answers. Scribd is the worlds largest social reading and publishing site. Biochemistry Basics Worksheet Answers Briefencounters. Skills Worksheet Biochemistry Answer Key. Exam 2014 Mbb 231 Cellular Biology And Biochemistry Studocu.

Biochemistry - Free Medical PDF

Biochemistry - Free Medical PDF

Biochemistry Basics POGIL Flashcards | Quizlet Start studying Biochemistry Basics POGIL. Learn vocabulary, terms and more with flashcards, games and other study tools. Only RUB 2,325/year. Biochemistry Basics POGIL. STUDY. Flashcards. What does the vitamin folate do? 9 answers.

6 Questions About DNA Answered | Britannica

6 Questions About DNA Answered | Britannica

Atomic Structure Worksheet Answers Pdf - Biochemistry basics... Basic atomic structure worksheet answers 1 a protons b neutrons c electrons. What type of charge does a proton have? Use your notes from the atomic structure program to answer . The atomic number is equal to the number of protons. Faqs atomic structure worksheet pdf answers.

Deconstructing Arguments Worksheet Answer Key​, Jobs EcityWorks

Deconstructing Arguments Worksheet Answer Key​, Jobs EcityWorks

Biochemistry Basics Pogil Answer Key - Fill Online, Printable ... Fill Biochemistry Basics Pogil Answer Key, Edit online. Sign, fax and printable from PC, iPad, tablet or mobile with pdfFiller ✓ Instantly. Try Now!

Biochemistry Multiple Choice Questions and Answers (MCQs): Quiz, Practice  Tests & Problems with Answer Key (10th Chemistry Quick Study Guides & ...

Biochemistry Multiple Choice Questions and Answers (MCQs): Quiz, Practice Tests & Problems with Answer Key (10th Chemistry Quick Study Guides & ...

Biochemistry Basics Pogil Answer Key - pdfFiller Сomplete the biochemistry basics pogil answer for free. Get started! Rate free biochemistry basics worksheet answers form. 4.9. Satisfied.

Biochemistry Basics - Welcome to Biology at the Ranch! Basics ...

Biochemistry Basics - Welcome to Biology at the Ranch! Basics ...

AP Summer Assignment 2019-20

AP Summer Assignment 2019-20

Biochemistry Basics POGIL™ Activities for AP* Biology What ...

Biochemistry Basics POGIL™ Activities for AP* Biology What ...

Biochemistry Basics worksheet

Biochemistry Basics worksheet

Solved Basic Concepts Worksheet 1.3 de un of amino acids ...

Solved Basic Concepts Worksheet 1.3 de un of amino acids ...

Biochem basics POGIL

Biochem basics POGIL

Biochemistry Basics Form ≡ Fill Out Printable PDF Forms Online

Biochemistry Basics Form ≡ Fill Out Printable PDF Forms Online

Biochemistry Basics Form ≡ Fill Out Printable PDF Forms Online

Biochemistry Basics Form ≡ Fill Out Printable PDF Forms Online

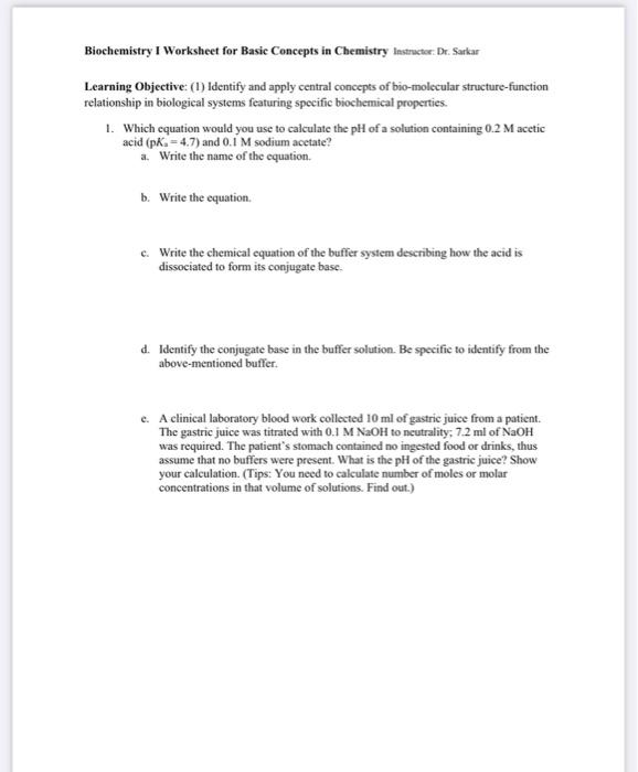
Solved Biochemistry I Worksheet for Basic Concepts in | Chegg.com

Solved Biochemistry I Worksheet for Basic Concepts in | Chegg.com

AP Summer Assignment 2019-20

AP Summer Assignment 2019-20

Solved Organic and Biochemistry Tenth Edition 281 Wh 118 ...

Solved Organic and Biochemistry Tenth Edition 281 Wh 118 ...

138 Class Materials - Mr. Moreau's Website

138 Class Materials - Mr. Moreau's Website

SCH4U - Unit 2 - Version C | PDF | Alkane | Alkene

SCH4U - Unit 2 - Version C | PDF | Alkane | Alkene

0 Response to "37 biochemistry basics worksheet answers"

Post a Comment

Iklan Atas Artikel

Iklan Tengah Artikel 1

Iklan Tengah Artikel 2

Iklan Bawah Artikel