39 rearranging equations worksheet answers
Plus each one comes with an answer key. The new content in these worksheets is solving quadratic equations in one variable by factoring. Adventure Systems Of Equations With Elimination Colombia Two Step Equations Systems Of Equations Teaching Middle School Maths 1 x2 9x 18 0 2 x2 5x 4 0 3 n2 64 0 4 […] I have already solved the equations in a worksheet by simply entering the equations as formulae is separate cells (which will initially create a circular reference warning) and the enabling iterative calculation) - given that I know DR will always be greater than PR, I thought an iterative approach of incrementally reducing PR...
Types of chemical reactions worksheet writing formulas answers. Answers question 1 a. You do not have to balance it. Classifying types of reactions pogil and answer key. Types of chemical reactions do atoms rearrange in predictable patterns during chemical reactions. Formulas and equations review distributed on 2 10 20.

Rearranging equations worksheet answers
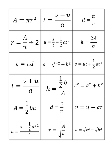
Home Algebra Data Geometry Measure Numbers Dictionary Games Puzzles Worksheets Point-Slope Equation of a Line The "point-slope" form of the equation of a straight line is: y − y 1 = m(x − x 1 ) The equation is useful when we know: one point on the line: (x 1 ,y 1 ) and the slope of the line: m, and want to find other points... Graph Index Slope (Gradient) of a Straight Line언어 선택▼ We may use Cookies OK Hide Ads About Ads Search... The Solving Linear Equations Form Ax B C A Math Worksheet Page 2 Solving Linear Equations Linear Equations Algebra Worksheets . By Dawn Roberts 7th 9th Grade A Hangman Activity Worksheet Geared For Independent Practice Of Solving Multi Free Math Lessons Algebra Worksheets School Algebra . Grade 8 Algebra Worksheets With Answers Algebra ... Rearrange the Equations - Two Variables as Subject. Solve for two unknown variables by rearranging the literal equations in each problem. Each printable worksheet consists of eight equations. Rearrange and Evaluate. Rearrange the algebraic equations to separate the subject. Evaluate the value of each subject by substituting the known values.
Rearranging equations worksheet answers. Some of the worksheets below are force and motion worksheets in pdf lessons on force and motion balanced and unbalanced forces and velocity and acceleration with colorful diagrams. Worksheets kindergarten science pushes and pulls pushes and pulls forces. Pushing And Pulling Are Forces In This Science Worksheet Your Child Will Learn The Difference Be Science Worksheets 2nd Grade Worksheets ... The Solving Linear Equations Form Ax B C A Math Worksheet Page 2 Solving Linear Equations Linear Equations Algebra Worksheets . By Dawn Roberts 7th 9th Grade A Hangman Activity Worksheet Geared For Independent Practice Of Solving Multi Free Math Lessons Algebra Worksheets School Algebra . Grade 8 Algebra Worksheets With Answers Algebra ... Solving Equations Maths Worksheet Algebra Worksheets Pre Algebra Worksheets Solving Linear Equations . ... Rearranging Formulae Worksheet Algebra Worksheets Math Worksheets Math Worksheet . ... Next Article Conductors And Insulators Worksheet Answers. You may also like... Worksheet 2d Shapes Poster Printable. can be skipped in this example since the coefficient of xis 1 Move the number term to the right side of the equation: Complete the square on the left side of the equation and balance this by adding the same number to the right side of the equation. Take the square root on both sides of the equation: Subtract 2 from both sides:
Get Free Solving Equations Answer Key Solving Equations Answer Key Maneuvering The Middle / Write the letter in the blank.. Worksheets are solve each round to the nearest tenth or tenth of, scatter plots, practice test answer and alignment document mathematics, fractions decimals and percents. Download Free Equations In Two Variables Worksheet Answers Two-step equation worksheets have a huge collection of printable practice pages to solve and verify the equations involving integers, fractions and decimals. Also, a number of exercise pdfs on translating two-step equations, MCQs and word problems based on geometric shapes are One key difference of quadratic simultaneous equations is that we can expect multiple answers. This is because of the way the graphs of linear and quadratic functions can intersect. On the graph below we can see the straight line of the linear equation has crossed the curved parabola of the quadratic equation at two points of intersection. Solving quadratic equations independent practice worksheet answer key. Lesson 8 understand linear functions answer key iready. Solve Quadratic Equations by Completing the Square. When adding or subtracting a negative number to both sides of an inequality the inequality symbol must be reversed. Add or subtract the numerators.
We need to rearrange the formula so we get "y=". We should end up with two equations (top and bottom of circle) that can then be plotted. Rearrange to get "y=": So when we plot these two equations we should have a circle: Try plotting those functions on the . It is also possible to use theto do it all in one go. Recognize common modes of radioactive decay Identify common particles and energies involved in nuclear decay reactions Write and balance nuclear decay equations... summarizes these types of decay, along with their equations and changes in atomic and mass numbers. Positron emission tomography (PET) scans use radiation to... Nov 19, 2019 · The Greek letter alpha (α) is used to represent this particle but in equations to keep track of mass and protons we must use. Betas. were also found to be particles; they are simply high-speed electrons. We use the Greek letter beta (β), but in equations is used. When a beta slows down it becomes an electron. Gamma excel transpose vba Share Improve this question Follow edited Jul 9 '18 at 19:34 CommunityBot 1 11 silver badge asked Jan 13 '12 at 15:14 user1130306 469 33 gold badges77 silver badges1111 bronze badges 2 I would just like to recommend that you use the Transpose Worksheet method rather than abusing clipboard. – binkiJun 30... Excel rearranging data from column... one worksheet to another using VBA... differential equation? Why does...
figure out the volume enclosed by each cube in these pdf worksheets for grade 6 and grade 7. Finding the Side length of the Cube Solve for the side length or the edge of the cube by rearranging the volume of the cube formula. Determine the cube root of the given volume to find the length of the side. Round off to the nearest tenth.
2nd grade math worksheets 3 digit addition with regrouping 3 digit addition and subtraction with regrouping coloring worksheets 5th grade math worksheets multiplication and division abc tracing worksheets pdf download adjective and adverb phrases worksheets with answers pdf adverb lesson 2nd grade can i make money from my handwriting common and proper nouns worksheets for grade 4 with answers ...
This intermediate level worksheet has a scoring system. Grades 3 through 6. Find the words hidden in the... This worksheet includes reading comprehension questions, a writing prompt, and vocabulary terms. An answer... 2nd through 4th Grades This worksheet has a picture of two kids jumping in a large pile of autumn leaves....
Halloween Mystery Math Worksheet 2 - No regrouping is required when solving addition problems within 99. Students will match the answers to a letter to solve the secret code. Double Digit Fun - Students will add a 2... Alien Math Maze - Students will solve addition and subtraction equations and navigate a path to the spaceship.... of worksheet links on another web site, blog, file... No worksheet or portion thereof is to be hosted on...
Comprehension is gaining meaning from what you read. Along with reading books doing crafts and forming letters we do a lot of letter-themed math. 1st Grade English Worksheets Best Coloring Pages For Kids Reading Comprehension Kindergarten 1st Grade Reading Worksheets 2nd Grade Reading Worksheets 7th Grade Reading Comprehension Worksheets The middle school reading comprehension passages …
The simplicity of the Pythagorean Theorem worksheet is the best thing about it. What is the Pythagorean... Over the years, many engineers and architects have used Pythagorean Theorem worksheet to complete their.A... Before we discuss the Pythagorean Theorem and the Pythagorean Theorem worksheet in detail, let’s take a look at...
Rearranging multi-choice answers gives (A) -1 – i (B) 1- i (C) -1 + i (D) -1 + -i (E) -1 + i . Texas Instruments 2020. You may copy, communicate and modify this material for non-commercial educational purposes provided all acknowledgements associated with this material are maintained. Author: Stephen Broderick Question 6....
Algebra 1 assignment solve each equation answer key 8.ns.2 worksheet answer key. 8.ns.2 worksheet answer key The garden would require a little less than 48 m of fencing glencoe/mcgraw-hill iv glencoe algebra 2 teacher's guide to using the chapter 3 resource masters the fast file chapter resource system allows you to May 04, 2016 · 8. ?
6th Grade Kinds Of Adjectives Worksheets With Answers These Algebra 1 Equations Worksheets will produce distance, rate, and time word problems with ten problems per worksheet. You may select the numbers to be represented with digits or in words. These Equations Worksheets are a good resource for students in ⋯
Parentheses, Brackets, and Braces Worksheets Rearrange the Equations - Two Variables as Subject. Solve for two unknown variables by rearranging the literal equations in each problem. Each printable worksheet consists of eight equations. Rearrange and Evaluate. Rearrange the algebraic equations to separate the subject. Evaluate the value of each
Equations Worksheet Answer Key. Inverse relationships are consisted of in straight formulas worksheets. They can help pupils in grades 5- 8 a whole lot. You can choose worksheets that include one-step as well as two-step formulas, integers, and decimals. To aid trainees improve their multiplication, division, as well as subtraction ...
Literal equation worksheets help to hone the skills like rearranging the literal equations rearrange and evaluate word problems containing real life applications and a lot more are included. Cbse worksheets for class 7 maths. Count on our printable 6th grade math worksheets with answer keys for a thorough practice. Free math worksheets for grade 6.
Summer Week 3 Number. Summer Week 1 Number. Ways adding and subtracting rational expressions are used in every day life Linear Programming Problems and Answers practice rearranging equations worksheet adding subtracting dividingand multiplying decimals worksheet simplifying exponents calculator.
Search phrases used on 2010-03-12: Students struggling with all kinds of algebra problems find out that our software is a life-saver. Here are the search phrases that today's searchers used to find our site.
Solve and plot the solution set. The boundary lines in this set of graphing two variable linear inequalities worksheets are in the slope intercept form. Solving Equations And Inequalities Worksheet Answers In 2020 Free Math Lessons 9th Grade Math School Algebra 9y 3. Linear inequalities worksheet. Complete the property table level 2 rearrange the inequality […]
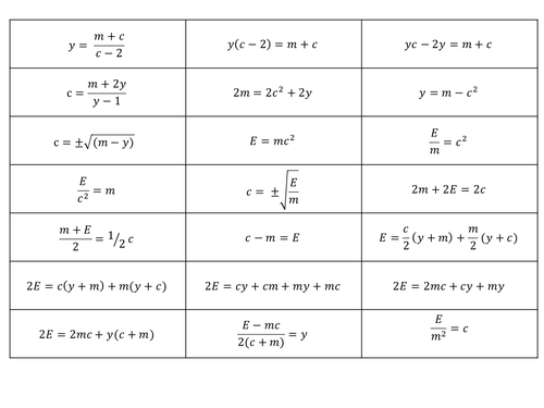
Some of the worksheets below are solving literal equations worksheets with answers solving literal equations which do not require factoring and which require factoring multiple choice questions and several interesting problems with answers. 1 g x for x 2 u x for x 3 z m x for x 4 g ca for a. Literal equations worksheet solve for the indicated ...
Rearranging equations worksheet physics answers tessshlo. Customize the worksheets to include one step two step or multi step equations variable on both sides parenthesis and more. Distributive property of multiplication worksheet ii. Nature of the roots of a quadratic. Rearranging literal equations type 2.
this equation: is an independent variable. is a dependent variable. is the , which is the expected mean value ofwhen all variables are equal to 0. On a regression... Choose your preferred a new worksheet in our case. Optionally, select the checkbox to get the difference between the predicted and actual values. Click and observe...
Steps 1 solve one of the equations for x or y. A worksheet for pupils to practise creating an algebraic expression and then substituting into it. We have resources available which cover substituting numbers into formulae magic. This images was Posted by admin on February 27 2021. Find the value of 5z 2 7y when z 10 and y 3.
Rearrange the formula to make p. Model answers video solution for Rearranging Formulae. Rearranging Formulae Worksheet Pdf. Changing the subject of formulae is an important skill in algebra so prepare students well by using our rearranging equations worksheets for GCSE students. Rearranging formulas worksheets questions and revision.
Balancing and writing chemical equations teaching resources Worksheets and lesson ideas to challenge students aged 11 to 16 to think hard about balancing equations, conservation of mass, writing chemical equations and formula. (GCSE and Key Stage 3) Balancing and writing chemical equations teacher brief Overview: when... (PDF) Writing ionic equations for precipitation reactions GCSE worksheet on ionic equations for precipitation...
Equations Worksheets | Solving Literal EquationsEquations and Word Problems Worksheets | Math Worksheets Rearrange the Equations - Two Variables as Subject. Solve for two unknown variables by rearranging the literal equations in each problem. Each printable worksheet consists of eight equations. Rearrange and Evaluate. Rearrange the algebraic ...
is usually denoted by in equations. Use these free, printable worksheets to help students learn and master these important math concepts. Each slide provides the student worksheet, followed by an identical worksheet that includes the answers for ease of grading. Each worksheet provides three distance, rate, and time problems...
Rearranging Equations Worksheet Answer Key - Your kid's basic math capacity can be assisted with an equations worksheet for kids.With this training, he'll be much better geared up to handle two-variable scenarios. These , totally free worksheets can help your young person create his or her analytic skills."
The system of equations involves solving 2 linear equations simultaneously. w-5-Worksheet by Kuta Software LLC Answers to Solving Equations by Cross Multiplication Systems of linear equations are an important part of linear algebra and they play an important role in such sciences as
Quadratic equations can be solved by graphing, using the quadratic formula, completing the square, and factoring. What are the pros and cons of each o writing programs for the ti-89 quad formula
Massey University in New Zealand has some pages on rearranging equations with many worked examples. MathMax.com's introductory algebra book has a rearranging equations worksheet (Acrobat (PDF) 4kB Oct5 07) and answers (but not worked solutions) (Acrobat (PDF) 9kB Oct5 07) that you can download to work through rearranging equations.
UB Random Sampling and Representing Data by Graphs Worksheet Content Type User Generated User plevar Subject Mathematics School University of Bahrain Description My Hw is about Random sampling and representing data by graphs. 1) Bar graph 2) circle graph 3) pictograph for categorical data. 1)Line plot 2) stem-and-leaf plot 3)... Graphs Worksheet Explanation & Answer: 9 questions... need answers, I will send you screenshots, you just...
Rearranging equations worksheet physics answers tessshlo. Create printable worksheets for solving linear equations pre algebra or algebra 1 as pdf or html files. Rearranging literal equations type 2.
Acces PDF Equations In Two Variables Worksheet Answers Jul 09, 2020 · But, equations can provide powerful tools for describing the natural world.
Rearrange the Equations - Two Variables as Subject. Solve for two unknown variables by rearranging the literal equations in each problem. Each printable worksheet consists of eight equations. Rearrange and Evaluate. Rearrange the algebraic equations to separate the subject. Evaluate the value of each subject by substituting the known values.
The Solving Linear Equations Form Ax B C A Math Worksheet Page 2 Solving Linear Equations Linear Equations Algebra Worksheets . By Dawn Roberts 7th 9th Grade A Hangman Activity Worksheet Geared For Independent Practice Of Solving Multi Free Math Lessons Algebra Worksheets School Algebra . Grade 8 Algebra Worksheets With Answers Algebra ...
Home Algebra Data Geometry Measure Numbers Dictionary Games Puzzles Worksheets Point-Slope Equation of a Line The "point-slope" form of the equation of a straight line is: y − y 1 = m(x − x 1 ) The equation is useful when we know: one point on the line: (x 1 ,y 1 ) and the slope of the line: m, and want to find other points... Graph Index Slope (Gradient) of a Straight Line언어 선택▼ We may use Cookies OK Hide Ads About Ads Search...

0 Response to "39 rearranging equations worksheet answers"
Post a Comment