36 Binomial Distribution Worksheet Answers
Apr 21, 2021 · Go Math Grade 7 Answer Key Big Ideas Math Answers Grade 7 Big Ideas Math Answers Grade 7 Advanced Eureka Math Grade 7 Answer Key In 7th Grade Math Practice, you will find all Kinds Some of the worksheets below are Binomial Probability Practice Worksheets, recognize and use the formula for binomial probabilities, state the assumptions on which the binomial model is based with several solved exercises including multiple choice questions and word problems. Once you find your worksheet (s), you can either click on the pop-out.
You are evaluating a portfolio of 15 securities and will assume a binomial distribution for the number of securities that lost value. Mid semester, April 2005 (a) What assumptions are being made when you use a binomial distribution in this way? Assumptions of binomial distribution: 1. n observations in the sample 2.

Binomial distribution worksheet answers
Answer. Binomial Distribution problems worksheet. Example 1. It is expected that 10% of production from a continous process will be defective. Find the probability that in a sample of 10 units chosen at random exactly 2 will be defective and atleast 2 will be defective. Solution. Binomial Probability Worksheet. Each question has five possible answers. Wha t is the probability that. a) Colin will pass the test if he guesses an answer to each question. b) Diana will pass the test if she studies so that she has a 75% chance of answering = 0.0375 + 0.1 = 0.1375 NB ANSWER GIVEN M1* M1* dep For 0.6 × 0.54 seen as a single term (not. AS Stats Chapter 3 Worksheet | Mark Scheme Author: ExamQA Subject: AS Stats and Mechanics Keywords: Binomial Distribution, Discrete Random Variables, A Level Maths, AS Stats, Chapter 3, Binomial Distribution Questions, Discrete Random Variables...
Binomial distribution worksheet answers. Answer. Binomial Distribution problems worksheet. Example 1. It is expected that 10% of production from a continous process will be defective. Find the probability that in a sample of 10 units chosen at random exactly 2 will be defective and atleast 2 will be defective. Solution. Binomial distribution worksheet answers. This quiz and worksheet will constitute your understanding of binomial distribution. Which of the following is not a property of a binomial experiment. Worksheet binomial distribution problems download as pdf file pdf text file txt or read online. The probability of success may change from trial to. In addition to the resources listed here, I highly recommend the activities provided by the Further Maths Support Network/MEI (school login required), which include topic notes, worksheets, activities and assessments. Also worth a read is MEI's advice on teaching statistics and this Guide to Dodgy Data. Huge thanks to all individuals and organisations who share teaching resources. Nov 20, 2021 · Normality n worksheet answers A z score of 0 means 50% of scores fall below the mean score. 3 310 4 N upward b. +1 standard deviation from the mean 2. T1_TEST (R1, hyp, tails) = the p-value of the one-sample t-test for the data in array R1 based on the hypothetical mean hyp (default 0) where tails = 1 or 2 (default).
Prentice hall mathematics algebra 1 answers, orleans hanna algebra, calculator to do percentage problems into fraction in simplest form, completing the square practice and answers, free practice test for Orleans-Hanna Algebra Prognosis Test, dividing a polynomial by a binomial similar, excel equations. Binomial and Geometric Worksheet Name _____ 1. A manufacturing process produces, on the average, 3% defective items. The company ships 12 items in each box and wishes to guarantee no more than one defective item per box. What is the probability that the box will fail to satisfy the guarantee? 2. Worksheet: Binomial Distribution Multiple Choice Identify the letter of the choice that best completes the statement or answers the question. ____ 1. Which of the following is not a property of a Binomial Experiment? a. All trials are identical. b. Each trial has only two possible outcomes. c. The probability of success may change from trial to. Binomial+Distribution+Worksheet.pdf. Loading…
An Approximation to the Binomial Student Worksheet Page 3 Step 8: Go back to the graph of bd90. From the Menu, choose Analyze, and then Plot Function. Enter normpdf( x,0.9, 10 0.9 0.1⋅ ⋅) Recall the mean of the binomial distribution ( n p⋅) and the standard deviation of the binomial distribution ( n p p⋅ −(1 ) ). Financial Markets. Kurtosis isn’t just a theory confined to mathematical textbooks; it has real life applications, especially in the world of economics.Fund managers usually focus on risks and returns, kurtosis (in particular if an investment is lepto- or platy-kurtic). According to stock trader and analyst Michael Harris, a leptokurtic return means that risks are coming from outlier events. Binomial Worksheet #2 I) A manufacturing process produces, on average, 3% defective items. The company ships 12 items in each box and wishes to guarantee no more than one defective item per box. What is the probability that the box will fail to satisfy the guarantee? 12) , 03) I — 1) P(KzŽ) - (n,.03. Binomial and Geometric Worksheet Name 1. A manufacturing process produces, on the average, 3% defective items. The company ships 12 items in each box and wishes to guarantee no more than one the defective item per box. What is the probability that the box wil fa to sati , qs-[q guarantee? p C X 01 Z 2.
Normal approximation to the binomial A special case of the entrcal limit theorem is the following statement. Theorem 9.1 (Normal approximation to the binomial distribution) If S n is a binomial ariablev with parameters nand p, Binom(n;p), then P a6 S n np p np(1 p) 6b!! n!1 P(a6Z6b); as n!1, where Z˘N(0;1).
Binomial Probability Worksheet. Each question has five possible answers. Wha t is the probability that. a) Colin will pass the test if he guesses an answer to each question. b) Diana will pass the test if she studies so that she has a 75% chance of answering
In probability theory and statistics, the binomial distribution is the discrete probability distribution that gives only two possible results in an experiment, either Success or Failure.For example, if we toss a coin, there could be only two possible outcomes: heads or tails, and if any test is taken, then there could be only two results: pass or fail.
Press ESC to close. Mark Books Chapter
Aug 14, 2013 · A frequency distribution table in Excel gives you a snapshot of how your data is spread out. It’s usual to pair a frequency distribution table with a histogram. A histogram gives you a graph to go with the table. In order to make a frequency distribution table in Excel with a histogram, you must have the Data Analysis Toolpak installed.
Where b = binomial probability. x = total number of "successes." In the probability theory and its statistics, the binomial circulation with strictures 'n' and 'p' is the distinct probability distribution of the number of victories in a sequence of 'n' independent trials, each asking a yes or no question, and each with its Boolean-valued result.
The quiz and worksheet will allow you to ascertain these qualities: Reading comprehension - ensure that you draw the most important information from the related lesson on binomial distribution.
Please help me work these cumulative binomial probability. In a particular strain of staphylococcus product abdominal cramps in 30% of person infected. At a clinic 10 persons ate contaminated food and were infected with the organisms, find:
The test statistic is a z-score (z) defined by the following equation. ${z = \frac{(p - P)}{\sigma}}$ where P is the hypothesized value of population proportion in the null hypothesis, p is the sample proportion, and ${\sigma}$ is the standard deviation of the sampling distribution.
8-1 Binomial Probability Worksheet II Name: Given the number of trials and the probability of success, determine the probability indicated: 1. find P(2 successes) 2. find P(1 success) 3. find P(10 successes) 4. find P(11 successes) 5. find P(4 successes) 6. find P(3 failures) 7. find P(1 failure) 8. find P(at least 3 successes) 9. find P(no.
WorkSHEET 9.2 Probability distributions Name: _____ State the rule for the Binomial probability distribution for the following: number of trials = 5, p = 0.2. number of trials = 10, p = 0.5. number of trials = 7, p = 0.81. Tabulate the probabilities for the Binomial distributions in parts (a) and (c) above.
The Binomial Distribution Collin Phillips Mathematics Learning Centre University of Sydney NSW 2006 c 2002 University of Sydney. Thanks To Darren Graham and Cathy Kennedy for turning my scribble into a book and to Jackie Nicholas and Sue Gordon for making the book make sense. Collin Phillips
Worksheet by Kuta Software LLC Kuta Software - Infinite Precalculus Binomial Probability Name_____ Date_____ Period____ Find the probability of each event. 1) A basketball player has a 60% chance of making each free throw. What is the probability that the player makes exactly.
Binomial probability worksheet ii given the number of trials and the probability of success determine the probability indicated. N 11 p 0 05 find p 3 failures 7. Binomial distribution multiple choice identify the letter of the choice that best completes the statement or answers the question. Find p 4 successes 6.
= 0.0375 + 0.1 = 0.1375 NB ANSWER GIVEN M1* M1* dep For 0.6 × 0.54 seen as a single term (not. AS Stats Chapter 3 Worksheet | Mark Scheme Author: ExamQA Subject: AS Stats and Mechanics Keywords: Binomial Distribution, Discrete Random Variables, A Level Maths, AS Stats, Chapter 3, Binomial Distribution Questions, Discrete Random Variables...
Binomial Distribution - Mean and Variance 1 Any random variable with a binomial distribution X with parameters n and p is asumof n independent Bernoulli random variables in which the probability of success is p. X = X 1 + X 2 + + X n: 2 The mean and variance of each X i can easily be calculated as: E(X i) = p;V(X i) = p(1 p):
Lesson Worksheet: The Mean and Standard Deviation of a Binomial Distribution. Start Practising. In this worksheet, we will practice calculating the mean and standard deviation of a binomial random variable. Q1: In a binomial experiment, the probability of a success in each trial is 0.6.
Then for the approximating normal distribution, μ = n p = 24 and σ = n p q = 4.2708. The binomial probability sought, P ( 27 ≤ x) is approximated by the normal probability P ( 26.5 < x), so we find z 26.5 = 0.5854. The related probability P ( 0.5854 < z) = 0.2791 is our answer. A Boeing 767-300 aircraft has 213 seats.
Probabilities for binomial random variables. The conditions for being a binomial variable lead to a somewhat complicated formula for finding the probability any specific value occurs (such as the probability you get 20 right when you guess as 20 True-False questions.) We'll use Minitab to find probabilities for binomial random variables.
Binomial Distribution Scavenger Hunt. by. Tiffany Shastal. 2. $2.00. Word Document File. For the scavenger hunt, there are 12 questions that need to be printed and hung in random order around the room. There is an included worksheet (and answer key) for students to complete as they walk around the room solving the problems.
In a binomial distribution the probabilities of interest are those of receiving a certain number of successes, r, in n independent trials each having only two possible outcomes and the same probability, p, of success. So, for example, using a binomial distribution, we can determine the probability of getting 4 heads in 10 coin tosses.
Statistics Worksheet #1 Unit 6.1 Binomial Probabilities For #1-4, the binomial distribution will be used. Answers may vary slightly depending on whether the binomial distribution formula, the table, or the calculators are used. Answer: a) What makes up a trial? b) What is a success? c) What is a failure? d) What are the values of n, p, and q?
d)!What!is!the!player's!expected!number!of!hits!in!her!next!10!times!at!bat?!!!=!"=100.28=2.8!!! 5)!Tenpercent!of!the!keyboards!a!computer!company!manufactures!are.
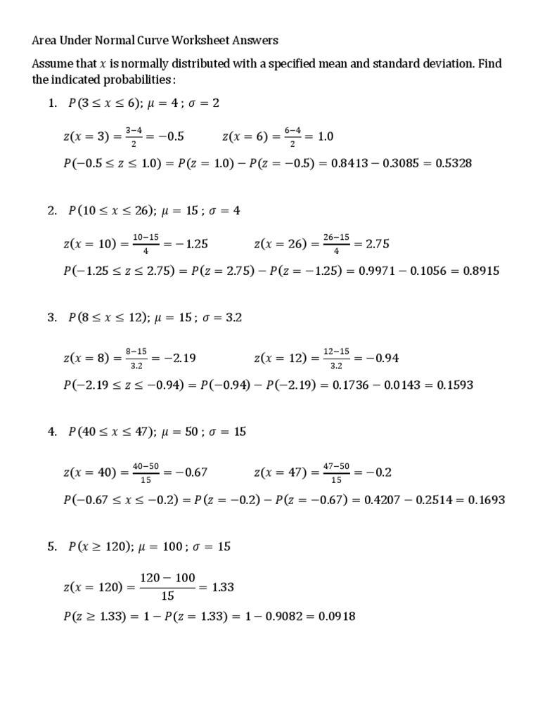
Normal distribution practice worksheet answers
1)View SolutionPart (a): Part (b): Part (c): 2)View Solution 3)View […]
Sep 08, 2021 · The normal distribution is a bell-shaped frequency distribution. Normal distributions are symmetric, unimodal, and asymptotic, and the mean, median, and mode are all equal.
0 Response to "36 Binomial Distribution Worksheet Answers"
Post a Comment