
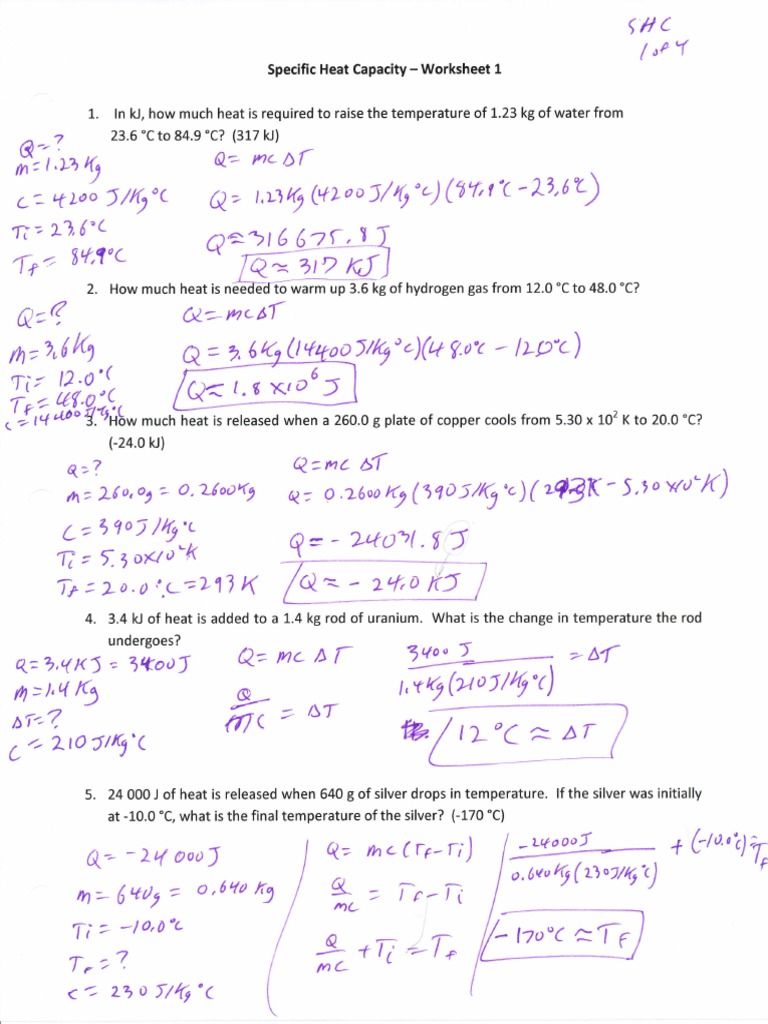
Specific heat capacity worksheet answers
Specific Heat Lesson Plans Worksheets Lesson Planet
Specific Heat Capacity 2 Gcse Physics Worksheet Answers Explained Youtube
Heat Capacity And Specific Heat Worksheet 1 3 3 04 1 26 41 Pm
Https Www Boyertownasd Org Cms Lib Pa01916192 Centricity Domain 639 Specific 20heat 20calculations 20worksheet 20key Pdf
Intro To Specific Heat Ws
Gsagency Co Img Top Brilliant Worksheet Heat Re
Specific Heat Capacity Teaching Resources The Science Teacher
Specific Heat Capacity Worksheet Key Thermodynamic Properties Physical Chemistry
Solved Lab 12 Pre Lab Worksheet Specific Heat Capacity C Chegg Com
Specific Heat Capacity Worksheet Key D4p7my5q264p
Calorimetry Lab
Heat Transfer Specific Heat Worksheet Done Pdf Heat Capacity Heat
Solved Lab 11 Worksheet Specific Heat Capacity C The En Chegg Com
2
Calorimetry Lab
Specific Heat And Heat Capacity Worksheet
Http Rawdachemistry Weebly Com Uploads 1 3 0 1 13016189 Extra Practice Calculating Specific Heat Worksheet Answers Pdf
Calculating Specific Heat Worksheet Heat Capacity Heat
Lesson Worksheet Specific Heat Capacity Nagwa
Specific Heat Answers 2013 Cute766
Aqa Gcse 9 1 Physics Teacher Pack By Collins Issuu
Specific Heat Problems With Answers Pdf Download Induced Info
Heat Capacity And Specific Heat Worksheet 1 3 3 04 1 26 41 Pm
Thermochemistry Problems Worksheet Number Two Answers Pdf Document
Thermodynamics Review Honors Chemistry 4212020 Specific Heat Capacity
Ninth Grade Lesson Introduction To Specific Heat Betterlesson
1
Specific Heat Capacity And Latent Heat Questions A2 Physics Pdf Free Download
Nate Slaney Nateslaney Profile Pinterest
Week 7 Lesson 1 Learning Objectives Define Specific Heat Capacity Ppt Download
Worksheet Introduction To Specific Heat Capacities Winters Chemistry Printable Pdf Download
Specific Heat Practice Worksheet Answer Key Excelguider Cute766
2
0 Response to "33 Specific Heat Capacity Worksheet Answers"
Post a Comment