
Calculating specific heat worksheet
Http Www Mychandlerschools Org Cms Lib6 Az01001175 Centricity Domain 581 011513 20specific 20heat 20wksht 20key Pdf
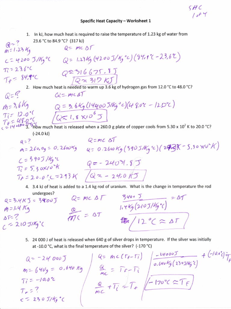
Calculating Specific Heat Worksheet 1 Name Date Q Mct Whereq Heatenergy M Mass Andt Changeintemp Remember T Tfinaltinitial 1 A 15 75 G Piece Of Course Hero
Specific Heat Worksheet Q M Tc
Phase Change Calculation Worksheet Q Mcpaˆ T Q For A Phase
Quota Worksheet Mathematics Worksheets For Grade Pdf Handwriting Printable Calculating Specific Heat Answers Glfwzew Fact And Opinion Worksheets 6th Grade Coloring Pages Top Math Websites Algebraic Terms And Expressions Worksheets Printable Worksheets
Specific Heat Worksheet Chemistry Making An Impactche Viewcalculate The Specific Heat Capacity Of Mercury What Is The Specific Heat Capacity Of Silver Metal If 55 00 G Of The Metal
Specific Heat Capacity Worksheet Key Thermodynamic Properties Physical Chemistry
Calorimetry Worksheets Worksheets Q Mcp T Where Q Total Heat Flow M Mass Cp Specific Heat T Change In Temp Example Calculate The Number Of
Basic Heat Calculations Ws For General Chemistry By Chem Queen
Intro To Specific Heat Ws
Thermodynamics Worksheet
A Specific Heat Practice Worksheet Answer Key Is Several Short Questionnaires On A Specific Top Practices Worksheets Chemistry Worksheets Human Body Worksheets
How To Calculate The Heat Energy
Calculations For Temperature And Phase Change For Temperature And Phase Change Worksheet The Heat Of Fusion Of Ice Is 79 7 How Much Energy Is Required To Raise The Temperature
Specific Heat And Heat Capacity Worksheet
Specific Heat Q Mc T Worksheet Key Docsity
Specific Heat Answers 2013 Heat Heat Capacity
Heat And Thermal Energy Worksheet Heat Capacity Heat
Solved Calculating Specific Heat Worksheet Name Dar 1 A Chegg Com
Specific Heat Answers 2013 Heat Heat Capacity
Specific Heat Calculations Worksheets Teaching Resources Tpt
Specific Heat Capacity Worksheet Key D4p7my5q264p
Http Www Polk K12 Ga Us Userfiles 664 My 20files Enrichment 20work 20for 20heat Pdf Id 219898
Heat And Thermal Energy Worksheet Heat Capacity Heat
Ninth Grade Lesson Introduction To Specific Heat Betterlesson
Specific Heat Capacity And Latent Heat Questions A2 Physics Pdf Free Download
Titrations Practice Worksheet Practices Worksheets Worksheets Worksheet Template
Specific Heat And Heat Capacity Worksheet Worksheet Template Tips And Reviews
Http Schools Misd Org Page Open 32174 0 Heat 20calculations 20worksheet Pdf
Specific Heat Calculations Worksheets Teaching Resources Tpt
1
Calorimetry Worksheet
The formula for the mean of a probability distribution is expressed as the aggregate of the products of the value of the random variable and its probability. matrix calculator has it ready for use.
ReplyDelete