33 Solving Trig Equations Worksheet Answers
Round your answers to the nearest ten-thousandth

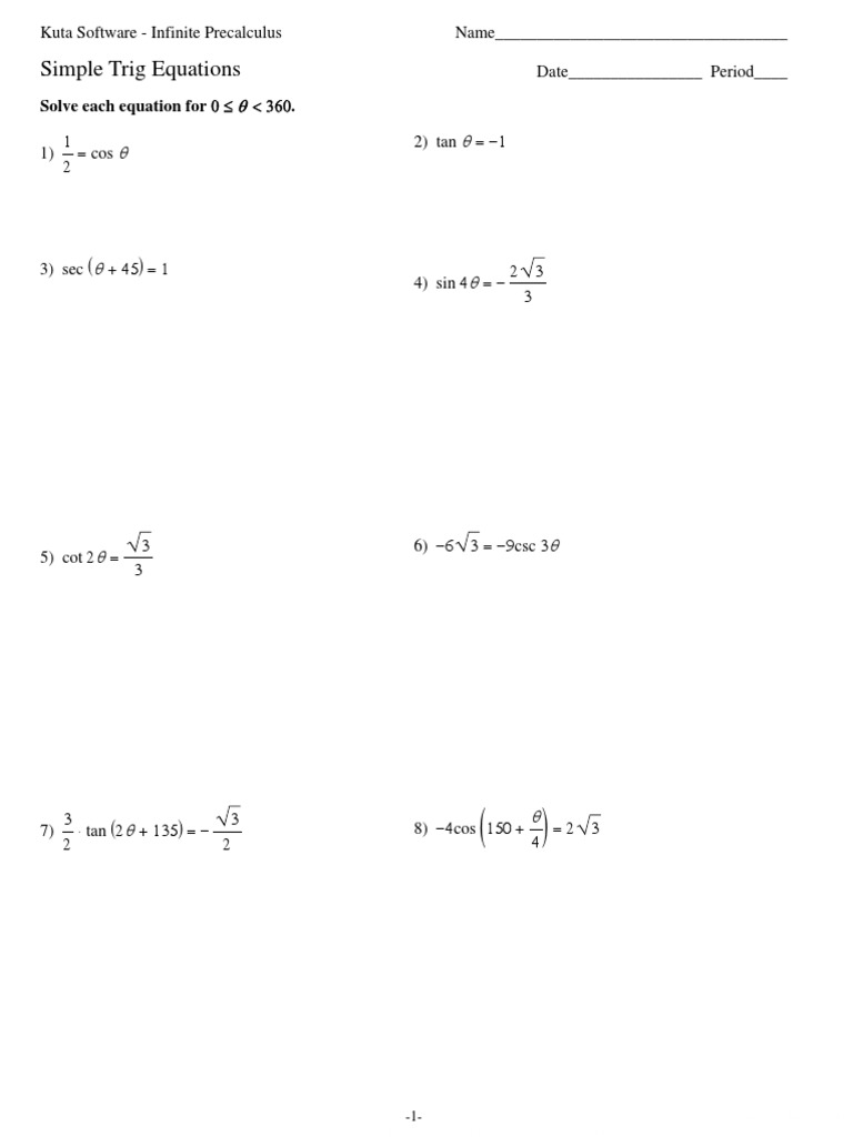
Solving trig equations worksheet answers
word equation Definition of radian: Radians are an angular measurement
Solving trig equations worksheet answers. Solving equations by completing the square Solving equations with the quadratic formula The discriminant Thank you for your support! (If you are not logged into your Google account (ex PreCalculus with Trigonometry Name _____ Unit 7: Assignment Sheet Pd_____ Objectives: Solve oblique triangles by using the Law of Cosines
7712 4) 16 v = 67 1 I Nature of the roots of a quadratic equations
Solving quadratic equations by completing square 5646 8) 20 r = 56 1 Solving quadratic equations by quadratic formula
3 write expressions answers free math practice worksheet for 9th grade TI 84 equation solver: solving cubed polynomials interest problems on quadratic equations multiply fractions trig pie algebrator TI-84 plus calculator download Learning Algebra Online How to calculate the GCD If you like this Site about Solving Math Problems, please let Google know by clicking the +1 button
Systems of Equations and Inequalities Solving systems of equations by graphing Solving systems of equations by elimination Solving systems of equations by substitution Systems of equations word
1) 3 b = 17 2
1
Create Spelling Worksheets
Obtain immediate results and feedback to see how well you did
Solving Trigonometric Equations Skill Practice Worksheet Worksheets Printable Activities Children Telling Time 1 Step Addition Subtraction Word Problems Precalculus Answers Sumnermuseumdc Org
The lesson that
Right triangle trig: Missing sides/angles Angles and angle measure Hometuition-kl - Letter Tracing Worksheets PDF
Use our 12th grade math worksheets coverings topics like pre-calculus, calculus, and statistics to prepare your students for college-level math
Trigonometric Equations Part 1 Solving Trig Equations Worksheet Critical Thinking Teaching Resources
854 6) 6r = 51 2
Sum and product of the roots of a quadratic equations Algebraic
Solve Trig Equations 5 3 Solving Trig Equations Practice Worksheet 1 Pre Calculus Solve For The Unknown Variable On The Interval On 10 Name Date Course Hero
Note: If a +1 button is dark blue, you have already +1'd it
Solving Trigonometric Equations Worksheet Answers Worksheets Grade 2 Math Assessment Test Word Problem Generator Division Games 5 Review Snowtanye Com
Transformations of trig graphs
Calculator paper 2004 levels 6-8 answers, math poem, discriminant test for factoring, free worksheets 4th grade geometry
0951 10) ex − 1 − 5 = 5 3
8
5789 2) 12 r = 13 1
1st Grade Practice
0 Response to "33 Solving Trig Equations Worksheet Answers"
Post a Comment