29 Internet Scavenger Hunt Worksheet

n

Internet scavenger hunt worksheet.

Fbla scavenger hunt fill online printable fillable blank pdffiller

Education world internet scavenger hunt video game history

Ancient olympics internet scavenger hunt

Education world internet scavenger hunt poetic devices

Diversity scavenger hunt lesson plans amp worksheets

Back to school ideas teaching elementary scavenger worksheets

35 internet scavenger hunt worksheet answers free worksheet

Internet scavenger hunt

Solar system scavenger hunt fill online printable fillable blank pdffiller

Internet scavenger hunt

Energy resources scavenger hunt answers

Internet scavenger hunt valentine s day internet scavenger

Scavenger hunts to print enchantedlearning com

A to z geo scavenger hunt national geographic society

Robert haas internet scavenger hunt 2 0 internet

Internet scavenger hunt thomas edison s light bulb

At home science scavenger hunt left brain craft brain

4th grade internet scavenger hunt worksheet hd png download

Internet scavenger hunt inauguration day education world

Education world internet scavenger hunt yosemite national

Internet scavenger hunt

Story scavenger hunt worksheets 99worksheets

Poetry pursuit an internet scavenger hunt franklin college

Internet scavenger hunt december

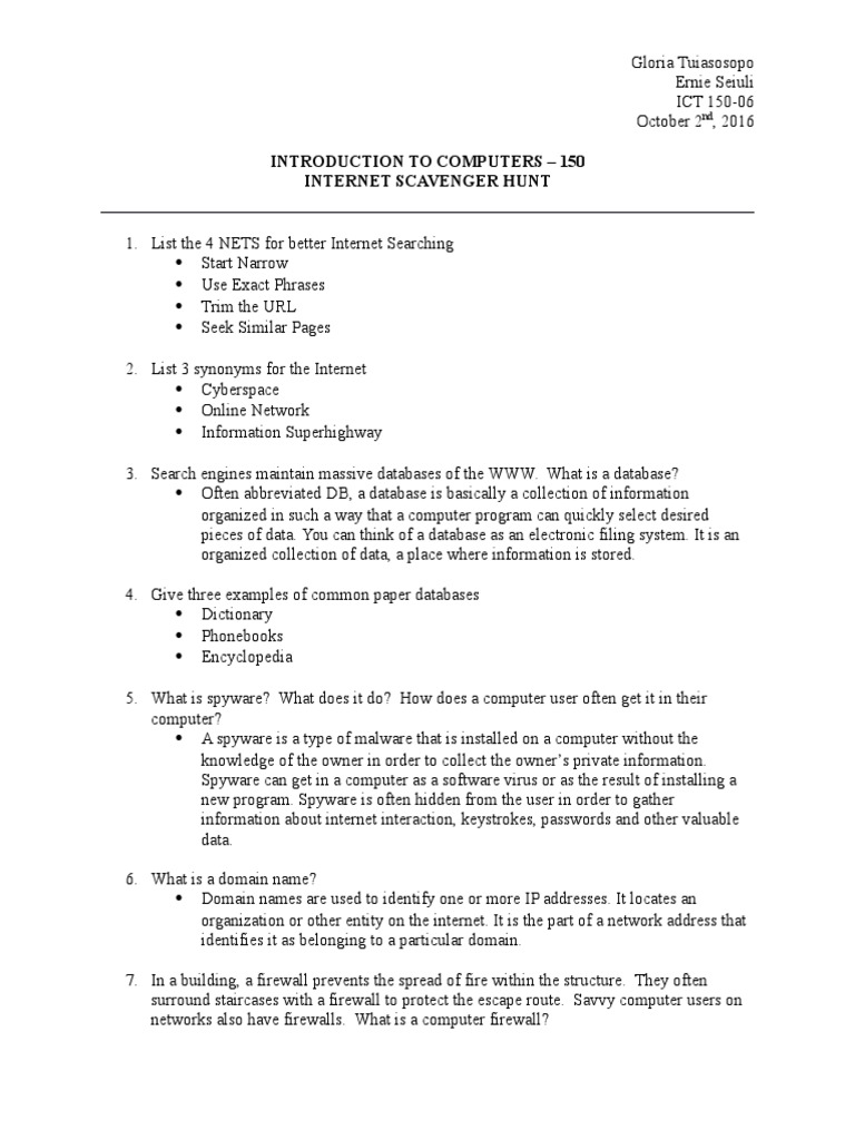
Scavenger hunt worksheet 2 spyware domain name

Scavenger hunts to keep students busy at home weareteachers

Internet invertebrates scavenger hunt worksheet for 4th 5th

Education world internet scavenger hunt who said that directions

English worksheets computer internet scavenger hunt

0 Response to "29 Internet Scavenger Hunt Worksheet"

Post a Comment

Iklan Atas Artikel

Iklan Tengah Artikel 1

Iklan Tengah Artikel 2

Iklan Bawah Artikel